Covid-19, oggi in Campania 1.175 casi e 3.101 guariti. Otto i decessi nel Casertano
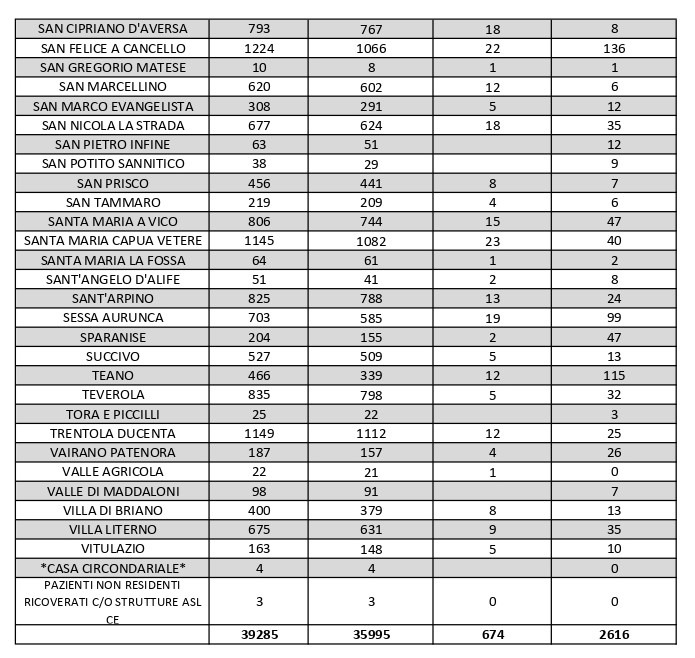
Le morti registrate sul territorio regionale sono 21. In provincia di Caserta, il centro più colpito resta Maddaloni con 248 contagi attivi. Seguono Marcianise (155), il capoluogo (145) e San Felice a Cancello (136)
È stato pubblicato nel pomeriggio, come ormai da mesi, il bollettino dell’Unità di crisi della protezione civile regionale che monitora i nuovi positivi al Covid-19 in Campania. Rispetto al bollettino di ieri, che su 16.112 test comunicava la presenza di 1.313 nuovi casi di contagio, nelle scorse ventiquattr’ore altre 1.175 persone sottoposte al test (di cui 105 identificate da test antigenico rapido) sono risultate positive su un totale di 14.380tamponi laringo-faringei effettuati dalle Asl dislocate sul territorio regionale (di cui 2.021 antigenici). Di questi nuovi positivi, 71 sono sintomatici e 999 asintomatici.
Sono stati riscontrati, purtroppo, altri 21 decessi (7 nelle scorse quarantotto ore e 14 in precedenza ma registrati ieri) legati all’infezione respiratoria da Covid-19 e alle sue complicazioni. Pertanto, il numero totale dei deceduti in regione sale a quota 3.725. Invece, sono 3.101 le nuove guarigioni registrate, numero che porta il totale dei pazienti guariti dall’infezione respiratoria a 154.051. Dall’inizio della pandemia, in Campania ci sono stati 219.418 casi di positività al Coronavirus (di cui 1.167 da test antigenico) su un totale di 2.397.782 tamponi eseguiti (di cui 21.099 antigenici).
Assieme al report quotidiano sui nuovi casi di positività al virus, è stato pubblicato anche il consueto resoconto sulla situazione dei posti letto di degenza ordinaria e di terapia intensiva per i pazienti affetti da Covid-19 nella rete ospedaliera campana. Sui 656 posti letto di terapia intensiva disponibili, 95 sono le postazioni correntemente occupate. Per quanto riguarda i posti letto di degenza ordinaria, invece, su un numero totale pari a 3.160 postazioni disponibili, sono 1.425 i posti letto attualmente occupati.
Per quanto riguarda il Casertano, il bollettino quotidiano diffuso dalla Asl di Caserta e aggiornato alle 15 delinea una situazione epidemiologica sostanzialmente stabile: su 2.052 tamponi, infatti, ne sono risultati positivi 190 e vi sono state 183 guarigioni. Purtroppo, nelle scorse ventiquattr’ore, in tutta la provincia sono stati registrati altri 8 nuovi decessi a causa dell’infezione da Covid-19 e delle sue conseguenze. Il numero complessivo delle morti per Coronavirus in Terra di lavoro dall’inizio della pandemia a oggi sale, dunque, da 666 a 674. Nel bollettino odierno, cala il numero di contagi attivi nella città di Caserta, che ne conta attualmente 145. La città col maggiore numero di casi di positività della provincia resta Maddaloni, che ne ha 248. A seguire, ci sono Marcianise con 155 casi, il capoluogo e San Felice a Cancello con 136 contagi.
Per quanto riguarda l’Agro aversano, area densamente popolata con i centri abitati tutti adiacenti tra loro, ecco i dati riferiti alle singole realtà territoriali: Aversa conta 61 positivi, Carinaro 9, Casal di Principe 27, Casaluce 33, Casapesenna 2, Cesa 6, Frignano 25, Gricignano d’Aversa 15, Lusciano 28, Orta di Atella 46, Parete 12, San Cipriano d’Aversa 8, San Marcellino 6, Sant’Arpino 24, Succivo 13, Teverola 32, Trentola Ducenta 25 e Villa di Briano 13. Al di fuori dell’Agro aversano, vanno segnalati i numeri relativi ad altri grossi centri della provincia, nei quali la situazione dei contagi attivi al momento è la seguente: ve ne sono 73 a Capua, 36 a Castel Volturno, 104 a Mondragone, 47 a Santa Maria a Vico, 40 a Santa Maria Capua Vetere, 99 a Sessa Aurunca, 115 a Teano e 35 a Villa Literno.
Questo sito Web utilizza i cookie. Continuando a utilizzare questo sito Web, acconsenti all'utilizzo dei cookie. Visita la nostra Privacy Policy. Accetto