Covid-19, oggi in Campania 1.313 casi e 684 guariti. Altri otto morti nel Casertano
I decessi registrati sul territorio regionale sono 35. In provincia di Caserta, il centro più colpito resta Maddaloni con 253 contagi attivi. Seguono Marcianise (159), il capoluogo (147) e Mondragone (136)
È stato pubblicato nel pomeriggio, come ormai da mesi, il bollettino dell’Unità di crisi della protezione civile regionale che monitora i nuovi positivi al Covid-19 in Campania. Rispetto al bollettino di ieri, che su 15.933 test comunicava la presenza di 1.178 nuovi casi di contagio, nelle scorse ventiquattr’ore altre 1.313 persone sottoposte al test (di cui 123 identificate da test antigenico rapido) sono risultate positive su un totale di 16.112tamponi laringo-faringei effettuati dalle Asl dislocate sul territorio regionale (di cui 1.904 antigenici). Di questi nuovi positivi, 87 sono sintomatici e 1.103 asintomatici.
Sono stati riscontrati, purtroppo, altri 35 decessi (12 nelle scorse quarantotto ore e 23 in precedenza ma registrati ieri) legati all’infezione respiratoria da Covid-19 e alle sue complicazioni. Pertanto, il numero totale dei deceduti in regione sale a quota 3.704. Invece, sono 684 le nuove guarigioni registrate, numero che porta il totale dei pazienti guariti dall’infezione respiratoria a 150.950. Dall’inizio della pandemia, in Campania ci sono stati 218.243 casi di positività al Coronavirus (di cui 1.062 da test antigenico) su un totale di 2.383.402 tamponi eseguiti (di cui 19.078 antigenici).
Assieme al report quotidiano sui nuovi casi di positività al virus, è stato pubblicato anche il consueto resoconto sulla situazione dei posti letto di degenza ordinaria e di terapia intensiva per i pazienti affetti da Covid-19 nella rete ospedaliera campana. Sui 656 posti letto di terapia intensiva disponibili, 98 sono le postazioni correntemente occupate. Per quanto riguarda i posti letto di degenza ordinaria, invece, su un numero totale pari a 3.160 postazioni disponibili, sono 1.474 i posti letto attualmente occupati.
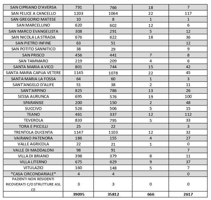
Per quanto riguarda il Casertano, il bollettino quotidiano diffuso dalla Asl di Caserta e aggiornato alle 13 delinea una situazione epidemiologica sostanzialmente stabile: su 2.031 tamponi, infatti, ne sono risultati positivi 177 e vi sono state 212 guarigioni. Purtroppo, nelle scorse ventiquattr’ore, in tutta la provincia sono stati registrati altri 8 nuovi decessi a causa dell’infezione da Covid-19 e delle sue conseguenze. Il numero complessivo delle morti per Coronavirus in Terra di lavoro dall’inizio della pandemia a oggi sale, dunque, da 658 a 666. Nel bollettino odierno, cala il numero di contagi attivi nella città di Caserta, che ne conta attualmente 147. La città col maggiore numero di casi di positività della provincia resta Maddaloni, che ne ha 253. A seguire, ci sono Marcianise con 159 casi, il capoluogo e Mondragone con 136 contagi.
Per quanto riguarda l’Agro aversano, area densamente popolata con i centri abitati tutti adiacenti tra loro, ecco i dati riferiti alle singole realtà territoriali: Aversa conta 54 positivi, Carinaro 10, Casal di Principe 24, Casaluce 28, Casapesenna 2, Cesa 5, Frignano 27, Gricignano d’Aversa 14, Lusciano 26, Orta di Atella 39, Parete 12, San Cipriano d’Aversa 7, San Marcellino 6, Sant’Arpino 26, Succivo 15, Teverola 33, Trentola Ducenta 32 e Villa di Briano 11. Al di fuori dell’Agro aversano, vanno segnalati i numeri relativi ad altri grossi centri della provincia, nei quali la situazione dei contagi attivi al momento è la seguente: ve ne sono 68 a Capua, 38 a Castel Volturno, 117 a San Felice a Cancello, 42 a Santa Maria a Vico, 45 a Santa Maria Capua Vetere, 100 a Sessa Aurunca, 112 a Teano e 37 a Villa Literno.
Questo sito Web utilizza i cookie. Continuando a utilizzare questo sito Web, acconsenti all'utilizzo dei cookie. Visita la nostra Privacy Policy. Accetto