Covid-19, oggi in Campania 1.178 casi e 1.390 guariti. Nove i decessi nel Casertano
I pazienti negativizzati sul territorio regionale sono oltre 150mila dall'inizio dell'epidemia. In provincia di Caserta, il centro più colpito resta Maddaloni con 267 contagi attivi. Seguono il capoluogo (154), Mondragone (152) e Marcianise (149)
È stato pubblicato nel pomeriggio, come ormai da mesi, il bollettino dell’Unità di crisi della protezione civile regionale che monitora i nuovi positivi al Covid-19 in Campania. Rispetto al bollettino di ieri, che su 11.441 test comunicava la presenza di 976 nuovi casi di contagio, nelle scorse ventiquattr’ore altre 1.178 persone sottoposte al test (di cui 84 identificate da test antigenico rapido) sono risultate positive su un totale di 15.933 tamponi laringo-faringei effettuati dalle Asl dislocate sul territorio regionale (di cui 1.656 antigenici). Di questi nuovi positivi, 57 sono sintomatici e 1.037 asintomatici.
Sono stati riscontrati, purtroppo, altri 26 decessi (9 nelle scorse quarantotto ore e 17 in precedenza ma registrati ieri) legati all’infezione respiratoria da Covid-19 e alle sue complicazioni. Pertanto, il numero totale dei deceduti in regione sale a quota 3.669. Invece, sono 1.390le nuove guarigioni registrate, numero che porta il totale dei pazienti guariti dall’infezione respiratoria a 150.266. Dall’inizio della pandemia, in Campania ci sono stati 216.930 casi di positività al Coronavirus (di cui 939 da test antigenico) su un totale di 2.367.290 tamponi eseguiti (di cui 17.174 antigenici).
Assieme al report quotidiano sui nuovi casi di positività al virus, è stato pubblicato anche il consueto resoconto sulla situazione dei posti letto di degenza ordinaria e di terapia intensiva per i pazienti affetti da Covid-19 nella rete ospedaliera campana. Sui 656 posti letto di terapia intensiva disponibili, 107 sono le postazioni correntemente occupate. Per quanto riguarda i posti letto di degenza ordinaria, invece, su un numero totale pari a 3.160 postazioni disponibili, sono 1.447 i posti letto attualmente occupati.
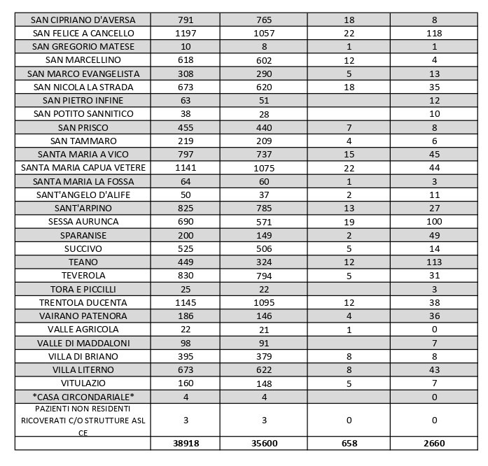
Per quanto riguarda il Casertano, il bollettino quotidiano diffuso dalla Asl di Caserta e aggiornato alle 14 delinea una situazione epidemiologica sostanzialmente stabile: su 2.245 tamponi, infatti, ne sono risultati positivi 150 e vi sono state 83 guarigioni. Purtroppo, nelle scorse ventiquattr’ore, in tutta la provincia sono stati registrati altri 9 nuovi decessi a causa dell’infezione da Covid-19 e delle sue conseguenze. Il numero complessivo delle morti per Coronavirus in Terra di lavoro dall’inizio della pandemia a oggi sale, dunque, da 649 a 658. Nel bollettino odierno, cala il numero di contagi attivi nella città di Caserta, che ne conta attualmente 154. La città col maggiore numero di casi di positività della provincia resta Maddaloni, che ne ha 267. A seguire, ci sono il capoluogo, Mondragone con 152 contagi e Marcianise con 149 casi.
Per quanto riguarda l’Agro aversano, area densamente popolata con i centri abitati tutti adiacenti tra loro, ecco i dati riferiti alle singole realtà territoriali: Aversa conta 52 positivi, Carinaro 9, Casal di Principe 28, Casaluce 26, Casapesenna 2, Cesa 6, Frignano 30, Gricignano d’Aversa 15, Lusciano 33, Orta di Atella 37, Parete 14, San Cipriano d’Aversa 8, San Marcellino 4, Sant’Arpino 27, Succivo 14, Teverola 31, Trentola Ducenta 38 e Villa di Briano 8. Al di fuori dell’Agro aversano, vanno segnalati i numeri relativi ad altri grossi centri della provincia, nei quali la situazione dei contagi attivi al momento è la seguente: ve ne sono 71 a Capua, 37 a Castel Volturno, 118 a San Felice a Cancello, 45 a Santa Maria a Vico, 44 a Santa Maria Capua Vetere, 100 a Sessa Aurunca, 113 a Teano e 43 a Villa Literno.
Questo sito Web utilizza i cookie. Continuando a utilizzare questo sito Web, acconsenti all'utilizzo dei cookie. Visita la nostra Privacy Policy. Accetto