• Linea Politico-Editoriale
  • La Redazione
  • Registrati
  • Termini e Condizioni
  • Contattaci
  • Lavora con noi
  • Pubblicità
  • Privacy Policy
  • Trattamento Dati
  • Entra
Il Crivello
  • Politica
  • Cronaca
    • Napoli
    • Caserta
    • Salerno
    • Benevento
    • Avellino
  • Inchieste
  • Economia
  • Società
  • Scuola
  • Cultura
    • Letture
    • Arte
    • Fumetti
  • Spettacoli
    • Musica
    • Teatro
    • Cinema
    • Televisione
  • Sport
  • Rubriche
    • LeggiAmo
    • Tech & Digital
    • Salute e Benessere
    • Architettura
    • Nutrizione
  • Registrati
Nessun risultato
Visualizza tutti i risultati
  • Politica
  • Cronaca
    • Napoli
    • Caserta
    • Salerno
    • Benevento
    • Avellino
  • Inchieste
  • Economia
  • Società
  • Scuola
  • Cultura
    • Letture
    • Arte
    • Fumetti
  • Spettacoli
    • Musica
    • Teatro
    • Cinema
    • Televisione
  • Sport
  • Rubriche
    • LeggiAmo
    • Tech & Digital
    • Salute e Benessere
    • Architettura
    • Nutrizione
  • Registrati
Nessun risultato
Visualizza tutti i risultati
Il Crivello
Nessun risultato
Visualizza tutti i risultati
Home Cronaca

Covid-19, oggi in Campania 1.294 casi e 760 guariti. Altri 11 morti nel Casertano

A livello regionale, sono stati registrati ancora 41 nuovi decessi. In Terra di lavoro, il maggior numero di contagi attualmente c'è a Maddaloni (236), Marcianise (186), nel capoluogo (185), Mondragone (206) e Aversa (113)

Giuseppe Scuotri di Giuseppe Scuotri
14 Gennaio 2021
in Cronaca
Covid

È stato pubblicato nel pomeriggio, come ormai da mesi, il bollettino dell’Unità di crisi della protezione civile regionale che monitora i nuovi positivi al Coronavirus in Campania. Rispetto al bollettino di ieri, che su 14.742 test comunicava la presenza di 1.098 nuovi casi di contagio, nelle scorse ventiquattr’ore altre 1.294 persone sottoposte al test sono risultate positive su un totale di 13.728 tamponi laringo-faringei effettuati dalle Asl dislocate sul territorio regionale. Di questi nuovi positivi, 127 sono sintomatici e 1.167 asintomatici.

Sono stati riscontrati, purtroppo, altri 41 decessi (10 deceduti nelle scorse quarantotto ore e 31 in precedenza ma registrati ieri) legati all’infezione respiratoria da Covid-19 e alle sue complicazioni. Pertanto, il numero totale dei deceduti in regione sale a quota 3.298. Invece, sono 760 le nuove guarigioni registrate. In totale, il numero dei pazienti guariti dall’infezione respiratoria è pari a 127.766. Dall’inizio della pandemia, in Campania ci sono stati 203.846 casi di positività al Coronavirus su un totale di 2.194.673 tamponi eseguiti.

Assieme al report quotidiano sui nuovi casi di positività al virus, è stato pubblicato anche il consueto resoconto sulla situazione dei posti letto di degenza ordinaria e di terapia intensiva per i pazienti affetti da Covid-19 nella rete ospedaliera campana. Sui 656 posti letto di terapia intensiva disponibili, 104 sono le postazioni correntemente occupate. Per quanto riguarda i posti letto di degenza ordinaria, invece, su un numero totale pari a 3.160 postazioni disponibili, sono 1.365 i posti letto attualmente occupati.

Per quanto riguarda il Casertano, il bollettino quotidiano diffuso dalla Asl di Caserta e aggiornato alle 14 delinea una situazione epidemiologica sostanzialmente stabile: su 1.924 tamponi, infatti, ne sono risultati positivi 195 e vi sono state anche 286 guarigioni. Purtroppo, nelle scorse ventiquattr’ore, in tutta la provincia sono stati registrati 11 nuovi decessi a causa dell’infezione da Covid-19 e delle sue conseguenze. Il numero complessivo delle morti per Coronavirus in Terra di lavoro dall’inizio della pandemia a oggi sale, dunque, da 535 a 546.

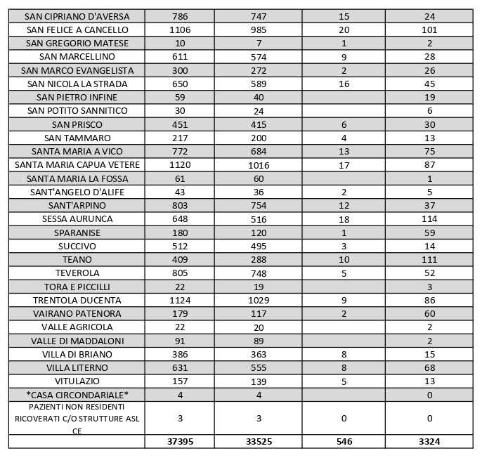
Nel bollettino odierno scende il numero di contagi attivi nella città di Caserta, che ne conta attualmente 185. La città col maggiore numero di casi di positività della provincia è Maddaloni, che ne ha 236. A seguire, c’è Mondragone, con 206 casi, e Marcianise con 186 contagi (più altri 48 nell’adiacente Capodrise), Santa Maria Capua Vetere con 114 e Aversa con 113. E gli occhi restano puntati ancora proprio sull’Agro aversano, dove i centri abitati sono tutti adiacenti tra loro e il virus ha ancora una certa diffusione, con dati in saliscendi nelle singole realtà territoriali: Carinaro conta 18 positivi, Casal di Principe 54, Casaluce 30, Casapesenna 10, Cesa 14, Frignano 13, Gricignano d’Aversa 24, Lusciano 51, Orta di Atella 73, Parete 44, San Cipriano d’Aversa 24, San Marcellino 28, Sant’Arpino 37, Succivo 14, Teverola 52, Trentola Ducenta 86 e Villa di Briano 15.

Al di fuori dell’Agro aversano, vanno segnalati i numeri relativi ad altri grossi centri della provincia, nei quali la situazione dei contagi attivi è la seguente: al momento ve ne sono 80 a Capua, 45 a Castel Volturno, 101 a San Felice a Cancello, 75 a Santa Maria a Vico, 87 a Sessa Aurunca e 111 a Teano.

Segui già la pagina Facebook Il Crivello.it?

Tags: Regione Campania
CondividiInviaTweet
Articolo precedente

Pubblicato il rapporto di Bankitalia sul primo semestre 2020: crollano redditi e consumi

Articolo successivo

Giro di racket e usura a Benevento: in 5 finiscono in manette

Articolo successivo
Giro di racket e usura a Benevento: in 5 finiscono in manette

Giro di racket e usura a Benevento: in 5 finiscono in manette

Facebook Instagram Youtube Twitter LinkedIn
Il Crivello

Strumento di informazione puntuale, orientato dalla parte dei cittadini e delle associazioni, di quel tessuto sociale che non sempre ha “voce” e, spesso, trova difficoltà ad esprimersi.

Archivi

Link Utili

  • Linea Politico-Editoriale
  • La Redazione
  • Registrati
  • Entra e Invia una notizia
  • Termini e Condizioni
  • Contattaci
  • Lavora con noi
  • Per la tua pubblicità
  • Privacy Policy
  • Trattamento dati personali

© 2021 Il Crivello - Tutti i diritti riservati

Nessun risultato
Visualizza tutti i risultati
  • Politica
  • Cronaca
    • Napoli
    • Caserta
    • Salerno
    • Benevento
    • Avellino
  • Inchieste
  • Economia
  • Società
  • Scuola
  • Cultura
    • Letture
    • Arte
    • Fumetti
  • Spettacoli
    • Musica
    • Teatro
    • Cinema
    • Televisione
  • Sport
  • Rubriche
    • LeggiAmo
    • Tech & Digital
    • Salute e Benessere
    • Architettura
    • Nutrizione
  • Registrati

© 2021 Il Crivello - Tutti i diritti riservati

Questo sito Web utilizza i cookie. Continuando a utilizzare questo sito Web, acconsenti all'utilizzo dei cookie. Visita la nostra Privacy Policy.